

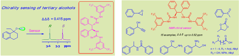
手性化合物在天然产物、药物分子、精细化学品和复合材料中普遍存在,其合成研究达到了空前的高速发展,从而也使得建立和发展快速、准确、简便的识别手性化合物的方法成为迫在眉睫的任务。核磁共振技术是研究手性分析的一种重要基础工具。利用手性溶剂化试剂(Chiral Solvating Agents,简称CSAs)研究手性识别无需衍生化,操作简单,节省试剂和溶剂,谱线窄,准确度高,样品容易回收,是核磁共振方法中最高效和最具有发展潜力的一种测试手段,近年来得到了越来越广泛的应用。
在国家自然科学基金和福建省自然科学基金的资助下,福建物构所中科院煤制乙二醇及相关技术重点实验室宋玲研究员领导的课题组在手性识别研究方面取得了系列新进展:与大连化物所的樊红军研究员和常州大学的孙小强教授合作开发的结构简单的新型硒脲类手性溶剂化试剂实现了对具有识别位点少、配位能力弱、空间位阻大、难于识别等的手性叔醇类化合物的高效拆分,并且通过二维谱、分子模型、理论计算等手段研究了识别机理,相关研究成果近期发表于权威刊物《化学科学》上(Chemical Science, 2016, 7, 932-938.)。此前开发的1,2-二苯基乙二胺衍生的手性双硫脲类溶剂化试剂对α-手性羧酸有很好的识别效果(The Journal of Organic Chemistry, 2013, 78, 9137-9142),最近又将其成功用于测定β-位到ω-位远距离手性羧酸、醇、氨基醇、环氧、酰胺、亚砜、酯等多种类型的手性化合物的光学纯度(Sensors and Actuators B: Chemical, 2016, DOI: 10.1016/j.snb.2016.03.002);同时还开发了通过比较在
同构型的双硫脲手性溶剂化试剂作用下α-H化学位移的大小来判定α-手性羧酸绝对构型的简便方法(Organic Letters, 2015, 17, 1369-1372)。
新型高效手性溶剂化试剂的开发不仅为手性化合物识别提供了一个快速高效的方法,而且为深入理解手性识别原理提供了理论和实验依据,对开发新型手性拆分体系、手性色谱填料以及新型手性催化剂具有重要的指导意义,相关后续研究工作正在进行中。
文章链接:
http://pubs.rsc.org/en/content/articlepdf/2016/sc/c5sc03780h
http://dx.doi.org/10.1016/j.snb.2016.03.002
http://pubs.acs.org/doi/pdfplus/10.1021/acs.orglett.5b00030
http://pubs.acs.org/doi/pdfplus/10.1021/jo4013546
(宋玲课题组 供稿)