
镧系功能配合物在荧光探针、造影剂、磁性、超导材料等领域展现了良好的应用前景。与过渡金属相比,镧系金属离子的配位数和配位构型都复杂多变且难于控制,从而给具有特定分子组成和几何构型的镧系功能配合物的溶液可控自组装带来极大的挑战。虽然大量的单核或者双核镧系金属配合物已经被文献报道,但是受限于具有特定三维构型的高核多面体组装体系的缺失,关于高核分子容器性镧系配合物的结构设计一直缺乏的系统性的理论认识。
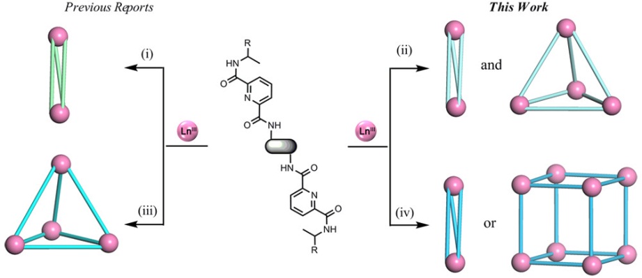
福建物构所结构化学国家重点实验室孙庆福研究员及其团队近期在镧系金属超分子配位自组装研究领域取得突破。此前,该课题组报道了首例通过立体选择性控制的配位自组装来定向合成手性超分子镧系四面体及其独特的手性自分类与手性有机磷阴离子的识别行为(J. Am. Chem. Soc.2015, 137, 8550. DOI:10.1021/jacs.5b03972. http://pubs.acs.org/doi/abs/10.1021/jacs.5b03972)。在此基础上,通过对配体结构的连续性调控,该课题组进一步总结并提出了多面体型镧系配合物结构演化的普适性规律:1)在具有C2对称性的z型双臂有机配体与镧系金属组装体系中,配位双臂间的错位间距对组装体的结构具有内在决定作用,随着双臂间错位间距的增大,镧系组装体经历了从Ln2L3螺旋体,Ln4L6四面体到Ln8L12立方体的系统性结构演变,并通过Ln2L3螺旋体与Ln4L6四面体共晶结构捕捉到了结构演变过程中临界点;2)高核数Ln4L6四面体以及Ln8L12立方体的制备都具有浓度依赖性,低浓度条件下都存在与Ln2L3螺旋体结构的热力学平衡转化;3)轻稀土与重稀土的高核数组装体具有不同的动力学稳定性,相比于不同核数的轻稀土组装混合物之间的快速平衡转化,高核数重稀土组装体一旦生成便具有较高的动力学稳定性,即使在稀浓度条件下也不会解离转化;4)含手性诱导基团的配体对Ln2L3螺旋体与Ln4L6四面体都具有严格的手性控制性,可以定量得到具有单一超分子手性的组装体,然而Ln8L12立方体却存在内消旋现象;5)所有的组装体在两种手性配体一锅法混合组装过程中都不存在手性自分类现象。
另外,所有的分子容器型稀土配合物都具有特征的稀土发光性质。Eu8L12立方体配合物对多硝基爆炸物展现出特异性高灵敏度的荧光识别行为,可以在ppb的检测浓度范围内实现对三硝基苯酚的荧光检测。同时,利用核磁、紫外可见吸收光谱、稳态及时间分辨的荧光光谱等滴定手段,首次系统证实了稀土分子容器与硝基化合物形成电荷转移复合物这一静态淬灭型荧光检测机理。该成果为多面体型镧系配合物的结构设计及其分子识别与传感性质提供了理论参考。上述研究工作发表在J. Am. Chem. Soc.2017,139, 8237. DOI: 10.1021/jacs.7b02764. http://pubsdc3.acs.org/doi/abs/10.1021/jacs.7b02764。
同时,该课题组还报道了具有相同浓度依赖行为的新型镧系四面体的设计合成及其硝基化合物的检测应用Chem. Commun.2017, 51, 2459. DOI:10.1039/c7cc00189d.http://pubs.rsc.org/en/Content/ArticleLanding/2017/CC/C7CC00189D。
该研究获得中科院战略性先导科技专项(B类)、国家基金委“无机-有机杂化功能材料”创新群体、国家自然科学基金面上及青年项目、福建省“杰出青年”基金等项目的资助。
(孙庆福课题组供稿)