惰性碳氢键活化具有良好的原子经济性,能在指定位置构筑新的碳碳键和碳杂原子键,可以极大地提高合成效率。在中科院战略性先导科技专项、国家自然科学基金项目等的资助下,福建物构所黄学良研究员课题组一直致力于金属卡宾相关课题的研究,将传统卡宾化学与碳氢活化反应结合起来,以简单易得原料为反应物,开发了新的碳氢键活化反应类型,即卡宾桥联碳氢活化。该方法解决了简单底物不满足碳氢活化反应要求的问题,同时利用卡宾的参与,给反应产物带来了结构的多样性,对于杂环化合物的构建具有重要意义。
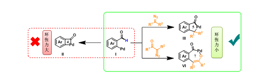
以邻溴苯甲醛类底物为例(图1),在零价钯作用下得到中间体I。受环张力影响,四元环钯中间体II通常难以生成。因此,黄学良课题组研究人员以卡宾的迁移插入反应为抓手,通过引入重氮化合物作为桥联模块,解决了经直接碳氢键活化形成的环钯中间体环张力过大的关键科学问题,得到相对稳定的五、七元环钯中间体III和VI。

图1 桥联C-H键活化构建相对稳定的环钯中间体
卡宾桥联碳氢活化反应的特点:1)反应物合成简单、来源广阔;2)适合于模块化合成结构多样的功能分子。
黄学良研究员课题组在2020年首次提出卡宾桥联碳氢活化(Carbene Bridging C-H Activation, CBA)的概念(Eur. J. Org. Chem. 2020, 723-727),并且利用该策略合成得到了异香豆素类化合物(图2a)。在前期研究基础上(Angew. Chem. Int. Ed. 2018, 57, 319-323),进一步丰富了反应物的多样性,并且可以实现部分具有复杂结构的活性分子的后修饰。
通过查阅文献发现,二苯并七元内酯化合物具有潜在预防或治疗恶性疾病的作用。传统的合成方法包括Baeyer-Villiger (BV) 氧化和大环内酯化等。结合课题组发展的卡宾桥联C-H活化策略,以简单易得的水杨醛衍生物为反应物,即可对目标分子进行模块化合成。因为,两种反应物均可以以水杨醛类化合物为原料,经一步合成制得,从而,使得该反应方法可以应用于大量含酚类结构药物分子的后修饰。氘代实验及DFT理论计算表明:反应经历了1,4-钯迁移反应过程,这是首例关于金属卡宾参与促进的1,4-钯迁移反应研究报道(图2b)。(Nat. Commun. 2020, 11, 461)
二苯并七元含氮杂环化合物因为具有潜在的生物活性和药物活性而备受关注,但是,文献关于通过分子间反应合成二苯并七元环内酰胺的报道非常少。上述卡宾桥联C-H键活化策略同样可以应用于二苯并含氮稠环化合物的多样性合成。将该反应方法作为关键合成步骤,课题组研究人员实现了活性分子perlapine, fluperlapine, etazepine以及tilozepine等的形式上的全合成,以及抗抑郁药mianserin, 抗组胺药epinasine和类维生素A增效剂HX640的全合成(图2d)。(Angew. Chem. Int. Ed. 2020, 59, 10.1002/anie.202007799)

图2 卡宾桥联碳氢活化的合成应用
DFT理论计算研究主要由福建物构所李春森研究员课题组和中国科学院大学汪志祥教授课题组完成。
(黄学良课题组供稿)